TECNOLOGIAS ALTERNATIVAS

A. Simulcast

Neste primeiro caso, cada vista é codificada individualmente sem ser explorada a redundância entre as diferentes vistas. Isto faz com que os níveis de compressão sejam bastante baixos, contudo este factor pode ser melhorado baixando a qualidade numa das vistas. Esta redução de qualidade, dentro de determinados parâmetros, não afecta a qualidade subjectiva do consumidor final.

Esta tecnologia foi usada pela ZON e pela MEO na transmissão 3D dos jogos do Mundial de Futebol de 2010.


B. Frame-Compatible Stereo Encoding Formats

Este tipo de formatos insere-se na classe de vídeos stereo onde ambas as duas vistas são multiplexadas numa única trama codificada ou numa sequência de tramas.

Este formato de codificação consiste em codificar duas vista ambas com metade da resolução espacial ou temporal, ou seja, as vistas são misturadas em PCM, e posteriormente codificadas como um único vídeo.

Este formato tem uma grande vantagem perante o MVC, pois é suportado tanto nos dispositivos de hardware existentes como nos canais de transmissão utilizados no inicio da codificação 3D, permitindo um rápido desenvolvimento destes serviços no mercado de conteúdos e serviços multimédia, antes de se ter uma forte tecnologia de codificação 3D.

Figura 4 - Exemplo das diferentes coficações frame-compatible stereo.


C. Conventional Stereo Video Coding

Esta codificação de imagens 3D é a solução antecessora do MVC, que consiste na multiplexagem de apenas duas vistas. Sendo assim, esta solução não possibilita a criação de paralaxe horizontal, ou free view point TV.

Convencionalmente, o par stereo refere-se aos diferentes ângulos de visão análogos aos dos olhos humanos, estando as câmaras distanciadas em média 6cm uma da outra, simulando assim a disparidade binocular. Devido a estas características, é de esperar que ambas as imagens sejam bastante semelhantes, logo boas para a compressão, bastando apenas comprimir uma imagem e retirar a outra por predição da imagem comprimida, técnica semelhante à compensação de movimento entre duas tramas temporalmente subjacentes.

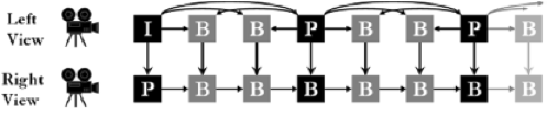
Esta técnica corresponde à já desenvolvida e bem definida especificação descrita na ITU-T Rec.H.262/ISO/IEC 13818-2 MPEG-2 Video, Multiview Profile, como é ilustrado na Figura 5.


Figura 5 - Ilustração da estrutura predição no H.262/MPEG-2 Video Multiview Profile.


D. Depth-based Representation

As Depth-based Representations são outra classe de formatos 3D.

Os formatos baseados nas técnicas de depth-based image rendering (DBIR), permitem a criação de “vistas virtuais” através de uma imagem base e da informação de profundidade dos objectos dentro da mesma. Esta informação é representada em mapas de profundidade - Figura 6 - e pode ser obtida através de camaras com laser desenvolvidas com esse intuito, ou através de cálculos com a luminância entre duas imagens.


Figura 6 - Ilustração do mapa de profundidade de uma imagem, utilizado no formato depth-based.


Este formato pode ser bastante atractivo, pois através de algoritmos e cálculos matemáticos mais ou menos complexos podem obter-se n-vistas, sem haver a necessidade de as ter que codificar todas integralmente. Ou seja, umas podem ser estimadas através de outras, possibilitando assim minimizar o bitrate (débito binário) e até aumentar a qualidade da experiência 3D utilizando ecrãs auto-estereoscópicos.

Contudo, apesar do grande ganho em eficiência que esta técnica pode representar, tem duas grandes desvantagens. O aumento da complexidade no descodificador, torna-o mais caro, algo que é bastante desmotivador para as empresas no ramo. A segunda desvantagem é de índole técnica e reside no facto de o Depth-base Representations não estar especificamente desenhado para lidar com oclusões.

Top